¿Porque ENFERMERÍA?

¿ El porque elegí enfermería ? Pf, es una respuesta difícil pero creo que es algo que está dentro de mi, es pura vocación, me explico: 
Desde pequeña me ha gustado ayudar y me he interesado mucho en general por el cuerpo humano y  toda la ciencia de la medicina, además, mi abuelo es médico, mi hermana también y mi madrina también, así que todo el tema de medicina en general me gustaba y lo tenia cerca. Por esto, no es raro que de pequeña quisiera ser médico, pero fue en 1º de bachiller cuando me di cuenta de que no, de que lo que realmente quería era enfermería.
Cuando llegue a bachiller (17 años) me di cuenta de que tenia que elegir ya lo que realmente quería hacer, así que empece a investigar, hable con tanto médicos como enfermeras y al final me acabo enamorando la profesión de enfermería, porque auténticamente en la ciencia del cuidado, es una profesión hecha por y para el paciente y para asegurarse de mejorar su calidad de vida, ayudándole en la enfermedad, ya no solo de manera física, si no incluso también psicológica o espiritual.
Además, siempre he sido una persona muy sociable y en cierto modo, con un pequeño "don de gente", así que tanto mi familia como mis amigas me motivaban diciendo que podría llegar a ser una gran enfermera y que podría ayudar a mis pacientes,  si me lo proponía lo iba a conseguir e iba a ser realmente muy feliz y he de decir que no se equivocaban. Aunque solo estoy en el segundo cuatrimestre de enfermería, cada asignatura que he hecho y me ha acercado mas a esta realidad, me ha dado cuenta de que este es mi sitio y que enfermería es mucho mas de lo que parece... 
Las sociedad engendran desconoce la verdadera función de una enfermera, desconoce toda su dedicación, trabajo, habilidades psicosociales, estudios... Incluso yo, que quería serlo, no me imagine la gran importancia que tiene dentro del sistema sanitario y he de ahí el nombre de este blog "Enfermería hace mas". 
En mi clase de Cruz roja hay colgado carteles que lo realizaron compañeros mios de otros años, con el hasta de #EnfermeríaHaceMas. Son carteles que siempre han llamado la atención y ahora puedo decir, que dice una verdad como un templo: enfermería hace mas que curar, enfermería acompaña, ayuda, cuida, salva vida, atiende a cuidadores, investiga, enseña, protege, gestiona, escucha, alivia, consuela ... Es una profesión, desde mi punto de vista que se tiene que dar a conocer. 

Tema 17: TIC, Medios de Comunicación Social y Enfermería:

Las redes sociales sin duda, son una herramienta con un potencial impresionante para contar y difundir lo que hacemos, nos ayuda a aprender de otros y a conocer lo que hacen muchos profesionales en otros servicios. 
  • Nos conectan con personas de cualquier lugar del mundo
  • Podemos publicar experiencias vividas, dar visibilidad a situaciones reales (siempre manteniendo privacidad de pacientes)
  • Cada vez son más los perfiles sanitarios que se animan a crear cuentas en las que se comparan conocimientos
  • Tenemos que entender las redes sociales como otro campo profesional  
El Uso de las Redes Sociales para Enfermería...  

BLOGS DE ENFERMERÍA MÁS LEÍDOS:
1. Ebevidencia: Todo una referente dentro de las redes sociales, cuyo objetivo siempre ha sido divulgar fomentar la enfermería basada en evidencias (EBE)
Youtube /  Twitter / Web
 2. Enfermería blog: Rincon visual y muy estructurado donde hay muchas herramientas útiles para tu día a día como enfermera. Es el único blog que cuenta con una app. 
En tweeter: @enfermeratweet 
3. Enfermería creativa:  Ayuda a aprender o repasar conceptos gracias a la inofografía, siendo un formato visual, fáciles de asimilar y recordar. 
 4. Enfermero del pendiente: Son los cuidados de enfermería de UCI, dejando en su blog técnicas, protocolos y manuales referentes a los cuidados en UCI
Canal de YouTube 
5. Blog de Teresa Pérez: "Para hacer visible lo que hacemos hay que compartirlo, las redes sociales y las TICs son las mejores herramientas para ello y los hospitales deberían elaborar planes digitales como una prioridad porque es el presente y la menta de gestionar la salud está cambiando"
Blog / @DUEdevocación.  
6. La factoría del cuidado: Es un compendio de Blogs, su primer proyecto fue en 2010: cuidando.es, dirigida aprofesionales con contenidos  sobre la investigación hasta aplicaciones móviles. EN 2012 crearon Mírame, diferénciate, otra iniciativa relacionada con la humanización de la asistencia sanitaria y atención centrada en el paciente.  Otro ejemplo es cuidadosdelasheridas.com, dirigida a pacientes y cuidadores para facilitar el uso adecuado de recursos online relacionados con el cuidado de heridas.
Web  
7. Enfermería tecnológica: Interviene en debates de  enfermería, ademas de plasmar en twitter información sobre congresos y reuniones.  
@PauMatalap 
8. Enferdocente: Un blog diseñado para difundir el conocimiento enfermero, tanto a nivel asistencial como a nivel docente e investigador.
9. Un enfermero curioso:  Da visibilidad y reconocimiento a la profesión enfermera y a las personas que la ejercen con pasión. Interesado en la investigación y la docencia.
Blog 
10. Cuadernillo Sanitario: Es un blog que trata diversos temas como la seguridad del paciente, práctica basada en la evidencia, gestión sanitaria y otras relacionados con la profesión enfermera.  
Está involucrado en proyectos de salud como: SueñOn, que es un proyecto impulsado por enfermeras y dirige a la sociedad, con el fin de promover el descanso de las personas. 
Proyecto SueñOn /  @EnferEvident
11. El blog De la Rosa: Acerca a los lectores a las ultimas novedades para cuidar su salud.  La divulgación de consejos y aducción sanitaria le ha valido el reconocimiento público con distintos premios ademas de construir una salida mas dentro de su carrera profesional 
Canal de YouTube / Blog 
12. Cuidando Neonatoa:  Dirigido a profesionales y a padres y madres que quieren saber sobre el tema de los mas pequeños, e impulsa las prácticas basadas en la evidencia. 
Blog

Tema 16: Aplicación de las TICS en los cuidados enfermeros:

La incorporación en el ámbito de la salud de las TIC está provocando un cambio en el paradigma de la atención primaria. Es un instrumento que refuerzan, ayudan y mejoran en el actual modelo sanitario y por tanto, en la enfermería. 
ENFERMERÍA INFORMÁTICA:
"Una especialidad que integra las Ciencias de la Enfermería, de la Computación y de la Información para la identificación, recolección, procesamiento y manejo de datos e información para el apoyo de la investigación, educación y expansión del conocimiento, gestión y cuidado asistencial" 
"Es la integración de ciencia y práctica de enfermería, su información y conocmiento de la gestión con tecnologías de la información y comunicación para promover la salud de las personas, familias y comunidades a nivel mundial" 

Los ámbitos de aplicación de las TICs en salud se ha agrupado en: 
  • Práctica clínica.
  •  Gestión
  • Educación y docencia
  • Investigación
Ventajas de las TICs
  • Pueden favorecer la difusión y la comunicación entre los diferentes miembros del equipo de salud
  • Pueden favorecer que la enfermería sea mucho mas visible 
  • Son esenciales para la adopción eficaz de decisiones y para la practica de enfermería de gran calidad 
  • La informática aplicada a la enfermería tiene como objeto conseguir mantener una perspectiva clínica y fomentar la investigación 
  • Ayuda a continuar la formación a lo largo de la vida
  • Facilita el intercambio de información entre la enfermera y el paciente. 
  • Es una herramienta que refuerza, ayuda y mejora el modelo sanitario y la enfermería para garantir la atención, cobertura y continuidad de los cuidados y mejora de los procesos de comunicación
Desventajas de las TICs::
  • Distracciones 
  • Dispersión 
  • Perdida de tiempo
  • Informaciones no fiables 
  • Aprendizajes incompletos y superficiales 
  • Visión parcial de la realidad 
  • Ansiedad
  • Dependencia de la persona. 

APPS DE LA SALUD:
Dentro de la gran cantidad de aplicaciones del subgrupo de la salud, es importante distinguir aquellas con un contenido científico avalado, rigurosos y de camisas, que protejan la privacidad de usuario y que tengan utilidad para el público que va dirijido, por ello la UE en 2013 creo un directorio de apps saludables y útiles.
Aquí os dejo alguna de las mejores aplicaciones que podemos encontrar: 
1. NEOinph VH: ¡Su interfaz en sencilla e intuitiva!  Facilita las pautas y las consulta a seguir en la administración de fármacos en pacientes neonatos
2. En calma en el quirófano: Ayuda a los pacientes a tranquilizarse y relajarse antes de someterse a una operación de quirófano  
3. Guía terapia intravenosa: Reune todos los protocolos a realizar de forma organizada y visual  
4. Scores Pediatrí: Recopila mas de 60 test pasa usarse en áreas de pediatría  
5. HealthScience: Organiza lo más relevante de mas de 200 revistas científicas de forma actualizada y ordenada por categorías. 
6. BCX EVA Escala del dolor: Sistema pensado como apoyo de los enfermeros y cuidadores a la hora de valorar el grado de dolor que tiene un paciente mediante una sencilla escala 
7. PrevenApp: Permite valorar si un paciente es propenso a desarrollar úlceras por presiónmediante la escala de Braden 
8. iRCP: Nos ofrece ayuda mediante su asistente de voz y una guía detallada de cómo debemos realizar una reanimación cardiopulmonar 
9. Guía Salud: Incluye guías prácticas para descargar en formado PDF, recomendaciones y materiales.
1o. Nurse Test; App basada en test, cuestionarios y escalas, que valora la evolución de los pacientes a lo largo y corto plazo mediante el registro de su historia individual  
11. Universal Doctor Speaker: Facilita la comunicación multibilingüe de atención medica en 8 idiomas diferentes entre enfermeras y pacientes.
12. EIR Enfermería:  Aplicación pensada para ayudarte a superar los exámenes del EIR y convertirte en enfermero interno residente. 
13. Infusion Nurse: Permite calcular la cantidad idónea de medicación y velocidad de las dosis en sueroterapias. 
14. AempsCIMA: Incluye dictados con todos los medicamentos autorizados en territorio español, explicando sus usos, finalidades y contraindicaciones. 
15. Aturnos: Web y App para planificar los turnos y los cuadrantes de los equipos de trabajo diarios. 
16. NandaNocNic: App que almacena y guarda toda la información del paciente, como sus ultimas consultas, intervenciones or resultados de pruebas internas.  





TEMA 15: Conceptos de red de información Sanitaria:

 Cada vez hay mas información de la salud, y por ello, cada vez hay mas fuentes por la que los ciudadanos pueden acceder a esta información smartphone, dispositivos y apss ... y que no solo son ventajas para el personal sanitario si no que, están logrando un empoderamiento del paciente. 
Es por esto, que cada vez hay mas estudios sobre  las TICs en el sector de la salud, además de que ayuda es numerosas ocasiones en reducir costes y aumentar la productividad. Por ejemplo: encontramos la tele consulta, el control y el seguimiento de los enfermeros crónicos, era profesional para el intercambio de información y experiencias. 
Además ... ¡Los wearables pueden llegar a salvar vidas incluso fuera del hospital! 
La incorporación de las nuevas tecnologías a la sanidad impacta en gran medida en todos los agentes participantes de ese sector y el nivel en el que afecta a cada uno de ellos es diferente:

1.  Centro de salud y consultorios 
  • Mejoran la gestión de citas o incluso concertar una cita vía interne
  •  Comunicación con centros especializados que pueden prestar apoyo en el diagnostico de patologías
  •  Acceso online a información de un paciente: Historia clínica, radiografías...  
 2.  Hospitales:
  •  Aumento de la eficacia en la gestión de citas: asignación mejores citas, coordinarlas .... 
  • Aumento en la calidad de atención, por ejemplo, por la gestión digital de imágenes, la robotización de ciertas actividades quirúrgicas , quirófanos inteligentes, en la prescripción de fármacos... 
  • Aumento del nivel de atención al ciudadano 
  • Aumento de la eficiencia del hospital, reduciendo costes y con un uso mas racional de los recursos. 
3. Emergencias:  
  • Facilitan la coordinación de recursos en caso de emergencia.  
E-SALUD Y E-BIENESTAR:  
Podríamos decir que la "e-salud", "salud digital" o "salud conectada" son térmicos análogos que se refieren a todo el ecosistema de aplicación de las TICs en el amplio rango de aspectos que afectan al cuidado de la salud.  
Eisenbach, What is e-health? 
Es un articulo encontramos dos cuestiones claves:
- "La e-salud es un campo emergente en la intersección de la información medica, la salud publica y los negocios, referido a los servicios sanitarios y la información transmitida o mejorada a través de Internet y las tecnologías relacionadas" 
- Por otro lado introduce otros 10 términos claves: 
  • Efficiency (eficiencia)
  • Enhancing quality of care (mejora la calidad del cuidado) 
  • Evidence based (Basada en la evidencia) 
  • Empowerment of consumers an pattens ( Empoderamiento de consumidores y pacientes) 
  • Encouragement (estimulante)
  • Education through online sources (Educación a traves De Fuentes digitales) 
  • Enabling information exchange (permitir el intercambio de información)
  • Extending de scope (ampliar el foco) 
  • Ethics (Ética) 
  • Equity (Equidad)  
Os dejo por aquí un enlace por si os interesa leer entero el articulo: https://www.jmir.org/2001/2/e20/ 
Según la OMS: 
  •  Cibersalud: El uso de tecnologías de la Información y la Comunicación para la salud, 
  • E-Salud: Se ocupa de mejorar el flujo de información, a través de medios electrónicos, para apoyar la prestación de servicios de salud y la gestión de los sistemas de salud.   
OTROS TÉRMINOS:
  • Salud 2.0: 
  • Salud móvil: Hace referencia al uso de dispositivos móviles y tecnologías para el cuidado de la salud
  • Telesalud, telemedicina y telenfermería: Aplicación del servicio de medicina y cuidados de enfermería a distancia, través de programas en los que se emplean las TICs.
  • e-pacientes: Aquellas personas activar y comprometidas y que ademas son competentes en el uso de Internet y nuevas tecnologías para mejorar su salud.  
  • e-profesionales: Profesionales sanitarios con competencias en el uso de Internet y otras herramientas digitales, lo que les permite un mejor desarrollo profesional, porque tienen una mayor capacidad para gestionar la información, adquirir nuevos conocimientos y realizar labores de formación e investigación en red. 
  • Redes sociales y salud: Una serie de aplicaciones basadas en Internet que se desarrollan sobre los fundamentos ideológicos y tecnológicos y que permiten la creación y el intercambio de contenidos generados por el usuario.
  •  Red de pacientes, comunidades virtuales y tecnologias de acercamiento en salud: Son todas aquellas tecnologías que potencian el aspecto de las tecnologías acercando personas y generando espacios en los que pacientes y profesionales tienen la posibilidad de compartir información, buscar apoyo mutuo y beneficiarse del aprendizaje social dentro de ellos. 




TEM 14: Visión general de las tecnologías de la Información.



La Tecnología de la Información y de la Comunicación , muy especialmente internet, se han introducido en la vida cotidiana de las personas: en el ámbito económico, social, cultural y como no, en el campo de la salud.
  • Tecnología de la comunicación: Comprende los medios de comunicación tradicional: radio, televisión y telefonía.
  • Tecnología de la información:  Comprende aquellas características por la digitalización de esa tecnología, es decir, la informática y la telemática. 
SOCIEDAD DE LA INFORMACIÓN: 
Es una expresión del entorno actual en el que vivimos, una sociedad interconectada por las innovaciones tecnológicas, que permite que la información fluya de manera instantánea desde cualquier parte del mundo.  
Origen: Este concepto surgió en los años 60, en los años 80 (con el nacimiento de internet) el uso de la tecnología se utilizo en procesos industriales, por lo que el estudio de la sociedad de la información fue cada vez mas serio, hasta que en los 90 llego la expansión  de internet. 

¿Porque la información es tan importante?
  • Evolución tecnologica 
  • Cambios en el ámbito social y cultural 
  • Impacto en el desarrollo empresarial y económico.  

 SOCIEDAD DE LA COMUNICACIÓN: 
Es aquella donde las interpelaciones que vinculan a los individuos se determinan por el acceso y procesamiento de la información para transformarla en conocimiento, primordialmente a través de  la tecnología de la información y de la comunicación. 
Valor primordial:  Aprendizaje a lo largo de la vida, que no está determinado ni por el espacio ni por el tiempo. 
Origen: Surgido en la década de los 60, precedida del concepto de la sociedad del aprendizaje.

Características:
  • Aceleración de la producción del conocimiento
  •  La innovación se convierte en la actividad dominante 
  • La revolución de los instrumentos del saber  


CONVERGENCIA DIGITAL:  
 Es la capacidad de consultar el mismo contenido en distintos dispositivos. 
Todo esto es gracia al desarrollo de las tecnología, a la mejora de las conexiones, a la velocidad, a la transferencia de datos y de lo que sería la transformación de lo analógico a lo digital 
Origen:  Con la llegada de los número binarios, se abrió una nueva puerta a la innovación, y posteriormente con la llegada de la programación y del desarrollo del Software. Con esto, se evoluciono de los sistemas analógicos al campo digital, minimizando el tamaño de los dispositivos y además, con función multitarea. 
 Aumento la demanda de los dispositivos analógicos y esto produjo un desarrollo de la conectividad con cada vez mas productos conectados a internet. 
Uso y futuro de la convergencia digital: 

  • Cambio y adaptación continua de todos los sectores profesionales, no solo el ocio
  • Consumir contenido desde interne
  •  Mayor rapidez

DEFINICIÓN DE TIC:
  • TIC: Tecnologías de la Información y la Comunicación. (mas usado)
  • NTICS: Nuevas Tecnologías de la Información y la Comunicación (poco usado)
  • TI: Tecnologías de la Información (concepto incompleto)  
Hace referencia a las teorías, herramientas  y técnicas de tratamiento utilizadas en el tratamiento y transformación de la sociedad, lo que es informática, internet y telecomunicaciones. 
Alcance de las Tic:  
  •  Permiten mejorar el nivel de vida de una población en concreto 
  •  Es una variable de interes en los estudios de desarrollo económico 
  • Las empresas que tienen un buen uso de las Tics se incrementa notablemente su eficacia 
  • Si son bien usadas, la evolución y el beneficio está mas que demostrado 
  • Importante en los estilos de vida de las personas 
TIC Y GESTION DE LA INFORMACIÓN EN ENFERMERÍA:  
Las TICs están suponiendo un cambio tanto a nivel asistencial, como en la investigación. Ayudan a mejorar la calidad de vida de los pacientes y favorece el desarrollo de herramientas para dar respuestas a áreas dirigidas a la planificación, la información, la investigación, la gestión, la promoción, el diagnostico y el tratamiento. 
Esta reconocido por la comisión europea que el uso de las TICs puede aumentar la calidad y la eficacia de los procesos que se llevan a cabo en las unidades sanitarias: con historias clínicas digitales, aplicaciones móviles, teleasistencia... 


Por ultimo, me gustaria definir paciente experto = Es aquel que, por su nivel de experiencia en una determinada patología y por su elevado compromiso e interacción con determinadas herramientas (TICs), posibilitan la unión entre pacientes principales y profesionales de la salud  




TEMA 13: Pruebas paramétricas mas utilizadas en enfermería: La prueba de t student. La prueba de t student para datos apareados. Anova.

 ANALISIS BIVARIADOS CUALITATIVA Y CUANTITATIVA: 
Es un tipo de análisis muy utilizado en todos los ámbitos, pues en muchas ocasiones nos interesa saber si las categorías (o factores) de una variable cuantitativa (u otras situaciones) presentan unos valores medios similares o no. 
La comparación de dos medias ...
  • La media de una variable respecto a un valor de interés  o de referencia.
  •  La media de dos muestras apareadas o independientes: Los valores que adquiere una si influyen en la otra 
  •  La media de dos muestras desapareadas o independientes: Los valores que adquiere una no influyen en la otra. 
¿Qué test aplicar en análisis divariado?:
PARAMÉTRICO 
  • T de student: para una o dos muestras
  • ANOVA: para mas de dos muestras
NO PARAMÉTRICO:
  • Prueba de U de Mann-Whitney (muestras independientes)
  • Test de Wilconxon (muestras apareadas)
  • Test Kruskal-Wallis (mas de dos muestras)  
Para saber que test aplicar: 
  1. Determinar si se determina de una muestra o dos muestres independiente o apareadas 
  2. Determinar si usaremos test paramétricos o no: Relación entre ambas medias sigue una distribución normal se realizará Test paramétricos, si no sigue una distribución normal, se utilizaría test no paramétrico.   
Algunas formas de comprobar la normalidad de los datos es: con métodos gráficos (histograma), métodos descriptivos (IQR/S = 1,34) o la prueba del lápiz grueso o gráfico QQ. Para la normalidad hacer test de Kolmogorov - Smirnov (n>50) p Shapiro - Wilk (n < 50)
  • K - S < 0,05 ⇢ Distribución no normal (Test no paramétrico)
  • K - S > 0,05 ⇢ Distribución normal (Test paramétrico)
T DE STUDENT COMO TEST PARAMÉTRICO: 
 Este test permite contrastar si dos muestras proceden o no de la misma población y si hay diferencia entre las dos medias. Necesita un N muestral > 30. 
Recordad... Nos encontramos dentro de un contraste de hipótesis (H0 y H1)  
Tal y como observamos en está gráfica con un grado de alfa del 2%, es decir, del 0,02 y un grado de libertad n -1, los extremos se acepta la hipótesis alternativa, rechazado la nula y en la zona céntrica se acepta la hipotesis nula. 

Dentro del cálculo, encontramos la siguiente fórmula: 



La formula de la desviación típica y de la varianza 
sería:  
 Grado de libertad: n + m - 2. 
Después, nos iríamos a la tabla con el grado de libertad y la significación:  
T obtenida > T teórica, se rechaza Ho y se acepta la H1
T obtenida < T teórica, se acepta Ho y se rechaza la H1.  

En ocasiones se puede presentar la situación que las dos variantes sean distintas o que partamos de la hipótesis de que las poblaciones de donde se han obtenido las muestras tengan variadas distintas. En ese caso la formula es: 

ANOVA: 
Métodos para comparar dos o más medias. Permite comparar medias en diversas situaciones: Dos variables, 1 categórica (+ de dos categorías) y 1 cuantitativa. De esta manera, permite la asociación entre una variable cuantitativa y una cualitativa de mas de dos categorías, siempre que la cuantitativa siga una distribución normal 
En el análisis de varianza comprobamos si existen diferencias estadísticamente significativas entre más de dos grupos.  
Se basa en el calculo del estadística F de Fisher - Schnedecor.


TEMA 12: Concordancia y correlación. Correlación paramédica: Pearson. Correlación no paramédica: Spearman.

 REGRESIÓN: Es la predicción de una medida basándonoslos en el conocimiento de otra.  Tenemos una de referencia y en función de ella, predecimos como se va a comportar los resultados de un estudios. 
ESTUDIO CONJUNTO DE DOS VARIABLES : 
Veamos un ejemplo:  

Realizamos una tabla de datos, con la variables "X" (altura en cm)  y otra variable "Y" (peso en kg), que recogen las mediadas antropométricas de un individuo. Una vez que tenemos la tabla completada, establecemos los datos en un diagrama de dispersión (scatterplot), en donde, cada individuo es un punto cuyas coordenadas 
El objetivo será intentar conocer a partir del mismo si hay relación entre las variables y de qué tipo, y si es posible predecir el valor de una de ellas en función de la otra. Además, al fin y al cabo, es un tipo de contraste de hipótesis, y por ello, habrá que plantear la hipótesis nula viendo si esta se rechaza o no. 

Observamos una relación entre las variables, en el cual, parece que el peso aumenta con la altura, aparentemente aumenta 10 kilos por cada 10 cm de altura, ósea, el peso aumenta una unidad por cada unidad de altura. 
RELACION: 
En estos diagramas de dispersión podemos encontrar varios tipo de relación:
  • Incorrelación: Para los valores de X por encima de la media, tenemos valores de Y por encima, y por debajo en proporciones similares. 
  • Fuente de relación : Para valores de X mayores que la media, encontramos valores de Y mayores. Para valores de X menores que la media, encontramos valores Y menores también. 
  • Cierta relación inversa o decreciente: Para los valores de X mayores que la media corresponden valores Y menores.  

De igual manera, encontramos una relación entre dos variables cuantitativas: 

  1. Variables independientes: No existe una forma definida, por tanto, no existe relación. 
  2. Variable dependiente: Aceptamos la hipótesis alternativa, rechazando la nula. Tenemos dos tipos de dependencia:
  • Dependencia funcional: Puntos exactamente sobre una linea curva o recta. No suele darse en estadística 
  • Dependencia estocástica: No están todos los puntos exactamente sobre el modelo, si no que existe una tendencia  
REGRESIÓN LINEAL SIMPLE: CORRELACIÓN Y DETERMINACIÓN:  
Se trata de estudiar la asociación lineal entre dos variables cuantitativas: 
  • Regresión lineal simple: Una sola variable independiente 
  • Regresión lineal múltiple: Mas de una variable dependiente.
Aquí, es importante destacar que si B > 0 la relación es directa  ( X aumenta e Y aumenta) y si B < 0 la relación es inversa ( X disminuye e Y aumenta). 
Para calcular a y b encontramos:   
 A su vez encontramos dos modelos lineales: 
  • Modelos lineales deterministas: La variable  independiente determina el valor de la variable dependiente, habiendo solo un valor de la dependiente para cada valor de la independiente. 
  • Modelo probabilístico: Para cada valor de la variable independiente existe una distribución de probabilidad de valores de la dependiente, con probabilidad entre 1 y 0.  

COEFICIENTES DE CORRELACIÓN 
Para las variables cuantitativas normales utilizaremos el coeficiente de correlación e de Pearson mientras que para las variables cuantitativas no normales y variables ordinales utilizaremos  el coeficiente de relación por Rango o de rho Sprarman. 
  • Coeficiente de correlación de Pearson:
Es un coeficiente que mide lel grado de la relación de dependencia que existe entre las variables (x,y), cuyos valores van desde -1 hasta 1. La magnitud del coeficiente de correlación (r) indica cuan cerca están los puntos de la recta: 
Si r es menor que 0 = lineal inversa. Si r es mayor de 0 = relación directa. Si r = 0, tenemos variables independientes o que no son lineales.  


  • Coeficiente de relación por Rango o de rho de Sprearman.

Por lo tanto: El coeficiente de correlación (Pearson y Spearman): Son números dimensionales (entre 1 y -1) que mide la fuerza y el sentido de la relación lineal entre dos viables:
RESUMIENDO UN POCO...  Primero establecemos en un tabla los datos, observamos las dos hipótesis de partida. Traslados los datos a los ejes de los datos, y observamos una relación inversa en función del valor que hemos obtenido al aplicar la fórmula 
EJEMPLO:  


¿ CÓMO EVALUAMOS LA BOLDAD DE AJUSTE DE ESTE MODELO?
Se evalúa a través del coeficiente de determinación (R2), siendo un valor acotado entre el 0 y el 1. Cuanto mas se acerque a 1, mayor poder explicativo, mayor bondad de ajuste, es decir, mas Cantidad de puntos  de la nube están cerca realmente de ese modelo. 
--> R2 x 100 = Porcentaje de variaciones explicadas por el modelo  
Por ultimo, se realiza el calculo del test de hipotesis para modelos de regresión lineal simple (t de Kendall):
  • t > valor de la tabla, rechazamos la hipótesis nula 
  • t < valor de la tabla, acepto la hipótesis nula   

TEMA 11: Pruebas no paramédicas mas utilizadas en enfemería

RECORDATORIO ... 
  • p > 0,05: Aceptamos la H0 y rechazamos la H1.
  • p < 0,05: Rechazamos la H0 y aceptamos la H1

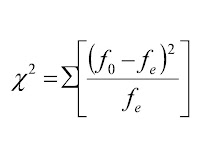
PRUEBA DE CHI-CUADRADO: 
Dos variables cualitativas
La prueba χ² se considera una prueba no paramédica que mide la discrepancia entre una distribución observada y otra teórica. Es la mas utilizada para el análisis de variables cualitativas.
La prueba de chi cuadrado se utiliza para comprobar si la diferencia en los datos que observamos:
  • Es debido al azar: Recordaremos que la H0 establece que no hay diferencia, es decir, que hay igualdad. Aceptamos la H0
  • Es debido a algo mas, por ejemplo, una asociación entre las variables que estudiamos. Rechazamos la H0 y aceptamos la H1.
Condiciones para aplicar la Chi cuadrado: 
  • Las observaciones deben ser independientes
  • Utilizada en variables cualitativas 
  • Mas de 50 casos
  • La frecuencia teórica o esperadas en cada casilla de clasificación no deben ser inferiores a 5. 
Si no se cumplen los requisitos, se usan pruebas paramétricas, como utilizar el estadístico de Fisher o la corrección de continuidad de Yates.  
Para la prueba de Chi cuadrado:
  • Frecuencia observada: La que recogen los datos
  • Frecuencia esperada: La que observaríamos si no hubiera relación. 
  • Grado de libertad (gl): Numero de valores o datos que puedan varias libremente dado un determinado resultado. Si solo hay un criterio de, la formula sería k-1 (nº de categorías menos una), pero si hay dos criterios e clasificación la formula seria (filas -1) x (columnas - 1) 

 PROCEDIMIENTO EN CHI CUADRADO: 
A) Establecer la hipótesis nula (H0)  
Ejemplo: No existe asociación entre el consumo de tabaco y el sexo (independencia), mientras que la hipótesis alternativa establece que existen asociaciones entre el consuo de tabaco y el sexo.  
B) Realizar una tabla con los datos o frecuencia observadas (f0) 
 Para evaluar la independencia entre las variables, se calculan los valores que indicarían la independencia absoluta, lo que se denomina "frecuencias esperadas". 
Se suelen hacer una tabla de contingencia con los datos, siendo tablas de doble entrada que se emplean para registrar y analizar la asociación entre dos o ma s variables de naturaleza cualitativa.
Ejemplo: 
C) Calcular los grados de libertad (gl)  
Ejemplo: (Nº de filas - 1) x ( nº de columnas - 1) = (2 - 1) x (2 -1) = 1 
D) Calcular las frecuencias esperadas o teóricas (fe o ft)  
Para obtener los valores esperados, éstos se calculan a través del producto de los valores totales marginales divididos por el número total de casos (n)  
E) Utilizamos el estadístico: 
Calculamos el valor estadístico de chi cuadrado (χ²) a partir de os datos observados

F) Comparamos el valor estadístico con el valor chi-cuadrado teórico y aceptamos o rechazamos la hipótesis nula: 
 Para obtener el valor de chi-cuadrado teórico lo debemos buscar en la tabla que
encontramos en este enlace: tabla_chi_cuadrado.pdf, en el cual debemos tener en cuenta en sus ejes tanto el grado de libertad como el nivel de significación. 
  • Si χ² observada > χ² teórica --> Rechazamos H0 
  • Si χ² observada < χ² teórica --> Aceptamos H0

Ejemplo: En nuestro ejemplo, la χ² observada es 0,056 mientras que la χ² teórica es 3,8415). Al ser el chi cuadrado observado menor que el teórico, podemos decir que no hay diferencia en los datos mas allá que la que habría si la diferencia fuera producida al azar, por ello, aceptamos H0. 
Otro ejemplo:   
Se esta estudiando la relación de las complicaciones en la herida quirúrgica de los servicios hospitalarios (A,B). Para ello hemos recogido las observaciones de dos servicios durante  un periodo de tiempo. 
Queremos trabajar a un nivel de significación de 0,07(95%) 



ODDS RATIO:
  •  Permite cuantificar la importancia/fuerza de la asociación entre dos variables 
  • Puede acompañar al resultado de la prueba chi - cuadrado (variables dicotómicas)  
Odds ratio sería el cociente entre la odas del grupo de individuos de la categorías 1 de la variable supuestamente dependiente (variable 2) (a/c), frente a la odas del otro grupo formado por los individuos de la categoría 2 de esa misma variable (b/d). 
  1. OR = 1, indica que no hay asociaciones (independencia)
  2.  OR>1, la presencia del factor de exposición (V1.1) se asocia a mayor ocurrencia del evento (2.1)
  3. OR<1, la presencia del factor exposición (V1.1) se asocia a menor ocurrencia del evento (V2.1) 

TEMA 10: Estimación y/o significación estadística

RECODEMOS... !
La significación estadística es la probabilidad de que la relación observada sea producto de la casualidad. 
  • Una de las dos maneras de inferencia estadística es el contraste de hipótesis 
  • Permite contrastar hipótesis y relacionarlo con el método científico 
  • Se parte de la hipotesis nula, frente a la hipótesis alternativa
  • Permite calcular el nivel de significación
  • Nos permite tomar decisiones, cuantificando el error. 
CONTRASTE DE HIPÓTESIS:  
Esta prueba consiste en contrastar la hipótesis del estudio con los datos obtenidos en la muestra con el fin de verificar si existen diferencias en los hallazgos obtenidos en ambos grupos debidas a la acción de la variable independiente, o si simplemente estas diferencias han sido fruto del azar. 
  1. Hipótesis nula (H0) = Indica que no existe diferencias significativas entre los resultados obtenidos en la practica y los resultados teóricos, es decir, que no hay realización real entre las variables y que cualquier relación observada es fruto del azar. 
  2. Hipótesis de investigación o alternativa (H1) = la que afirma que la media de la población es un valor diferente al hipotético 
 Según el nivel de significación que hayamos preestablecido (habitualmente 95%) las soluciones pueden ser: 
  • p > 0,05: No podemos rechazar laa hipótesis nula 
  • p < 0,05: Rechazamos la hipótesis nula, aceptando la alternativa 
Para realizar un contraste de hipótesis encontramos 3 fases:
1. FASE UNO:  
Formular la hipótesis nula a partir de la hipótesis de investigación o alternativa.  Esto suele expresarse: 
  • H0: μA = μ 
  •  H1: μA ≠ μB
Si la hipotesis nula es verdadera, solo hay un probabilidad: μA=μB, pero si la hipótesis nula es falsa, sabemos que μA ≠ μB pero no sabemos si es μA < μμA > μB. Para averiguar esto es necesario hacer un contraste bilateral.  

2. FASE DOS: 
Tras formular la H0, mediante el estadístico de contraste más apropiado, la probabilidad de que los resultados observador puedan deberse al azar.
Un estadístico de contraste de hipótesis o de significación estadística es una medida estandarizada de la discrepancia que hay entre la hipótesis nula y el resultado de la diferencia de medias obtenidas en la muestra.  Para elegir el estadístico de contraste mas adecuado, hay que tener en cuenta: 
  •  La escala de medida y el tipo de variable 
  • La independencia o dependencia de las medidas
  • El aspecto de la distribución de la variable dependiente.  
 3. FASE TRES:
 Basándose en esta probabilidad, se decidirá rechazar o no la hipótesis nula. Cuanto menor sea el valor de p, menor será la probabilidad de que los resultados obtenidos se deban al azar y mayor evidencia habrá en contra de la hipótesis nula. 
Para decidir si rechazar  o no la H0 debe fijarse previamente un valor de p, por debajo del cual se considera que se dispone de la suficiente evidencia contra H0 para rechazarla. Este valor se denomina valor de significación estadística α, fijada normalmente en el 5% (0,05) 

4. FASE CUATRO: 
Realizar calculo y exponer cupones   
ERRORES DE HIPÓTESIS:  
Encontramos el error α, que es la probabilidad de equivocarnos al realizar la hipótesis nula. Encontramos dos tipos de error: 
  • Error de tipo 1: Consiste en decir que existen diferencias estadísticamente significativas cuando realmente no es cierto 
  •  Error tipo 2: Se indica que no existen diferencias cuando realmente no es cierto. 
El error tipo 2 es mas probable que se cometa que el ed tipo 1. 
Aquí os dejo un video relacionado con la fase 2, para saber que prueba estadística escoger:



TEMA 9: Introducción a la inferencia estadística. Intervalos de confianza y contraste de hipótesis.


De la población con un muestreo probabilisitco, obtengo una muestra,
de la cual hago un análisis descriptivo (estimación puntual) y después
podemos realizar na estimación (inferencia)


 INFERENCIA ESTADÍSTICA: Es el conjunto de procedimientos estadísticos que permiten pasar de lo particular, la muestra, a lo general, la población. 
  •  Población: Conjunto de personas, sujetos o unidades que presenten una característica común 
  •  Muestra: Subconjunto extraído y seleccionado de una población a la que representan 
  • Muestra independiente: Esta formado por datos independientes, o sea, aquellos obtenidos tras una única observación 
  • Muestra apareada o dependiente: Está constituida por datos apareados. Comparan el mismo grupo de sujetos en dos tiempos diferentes, o bien son grupos muy relacionados entre si  
Dos maneras de hacer estadística inferencial... 


1. CONTRASTE DE HIPÓTESIS:  
 Se formula la hipótesis nula (H0), que postula que no hay diferencia entre los dos grupos que se comparan, y se contrasta con los datos obtenidos para determinar si esta es verdad o falsa.
Se puede realizar para métodos paramédicos y no paramétricos: 
2. ESTIMACIÓN DE PARÁMETROS POBLACIONALES:
 Estimación del valor en la población (parámetro) a partir de un valor de la muestra (estimador) . Existen dos tipos:  


  • La estimación puntual: Utiliza el valor del estadístico calculado en la muestra como valor del parámetro que se desea estimar.  Habitualmente, se utiliza el valor de la media muestra 'x' como estimador de la media poblacional μ. 
  • La estimación por intervalos:  Informa de la probabilidad de que el parámetro poblacional se encuentre entre unos valores determinados. 
Ejemplo: 


ERRORES ESTANDAR
El error stander de la media (EEM) mide la dispersión hipotética que tendrían las medias de infinitas muestras tomadas de una población determinada.  Es decir, mide el grado de variabilidad en los valores del estimador en las distintas muestras de un determinado tamaño que pudiésemos tomar de una población. 
Existen dos errores:
1. Error estándar para una media  
El EEM depende de la desviación típica, de la población y del tamaño muestral. De tal manera que la formula es:  

2. Error estandar para una proporción:  
 El EE de un porcentaje, es la desviación estándar de una distribución formada "n" porcentajes resultantes de la observación de "n" muestras de esa población. 


TEOREMA CENTRAL DEL LÍMITE:
Es una teoría estadística que establece que, dada una muestra suficientemente grande de la población, la distribución de las medias muestras seguiría una distribución normal. 
  • El TCL considera una muestra como grande cuando el tamaño esta es superior a 30. 
  • La media poblacional y la media muestral serán iguales  
  • La varianza de la distribución de de las medias muestras será σ²/n

INTERVALO DE CONFIANZA:  
 Son un medio de conocer el parámetro en una población midiendo el error que tiene que ver con el azar (error aleatorio). Se trata de un par de numero tales, con un nivel de confianza determinados, podamos asegurar que el valor del parámetro es mayor o menor que de ambos números. 
Se calcula considerando que el estimador muestral sigue una distribución normal, como establece la teoría central del límite:

  • Para nivel de confianza del 95% --> Z = 1,96
  • Para nivel de confianza de 99% --> Z = 2, 58









EL BLOG

La función de este blog es comprender un poco mas a la asignatura de Estadísticas y Tecnología de la Información y la Comunicación.  En e...